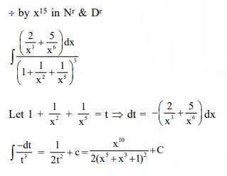
Question: The integral $\int \frac{2 x^{12}+5 x^{9}}{\left(x^{5}+x^{3}+1\right)^{3}} d x$ is equal to :-
$\frac{-x^{10}}{2\left(x^{5}+x^{3}+1\right)^{2}}+C$
$\frac{-x^{5}}{\left(x^{5}+x^{3}+1\right)^{2}}+C$
$\frac{x^{10}}{2\left(x^{5}+x^{3}+1\right)^{2}}+C$
$\frac{x^{5}}{2\left(x^{5}+x^{3}+1\right)^{2}}+C$
Correct Option: , 3
Solution:
