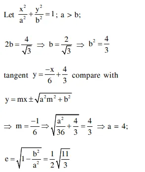
Question: The length of the minor axis (along $y$-axis) of an ellipse in the standard form is $\frac{4}{\sqrt{3}}$. If this ellipse touches the line, $x+6 y=8$; then its eccentricity is:
$\sqrt{\frac{5}{6}}$
$\frac{1}{2} \sqrt{\frac{11}{3}}$
$\frac{1}{3} \sqrt{\frac{11}{3}}$
$\frac{1}{2} \sqrt{\frac{5}{3}}$
Correct Option: , 2
Solution:
