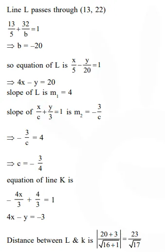
Question: The line $L$ given by $\frac{x}{5}+\frac{y}{b}=1$ passes through the point $(13,32)$. The line $K$ is parallel to$L$ and has the equation $\frac{x}{c}+\frac{y}{3}=1$. Then the distance between $L$ and $K$ is :
$\frac{23}{\sqrt{15}}$
$\sqrt{17}$
$\frac{17}{\sqrt{15}}$
$\frac{23}{\sqrt{17}}$
Correct Option: , 4
Solution:
