The locus of the mid-points of the perpendiculars
Question:
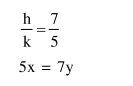
The locus of the mid-points of the perpendiculars drawn from points on the line, $x=2 y$ to the line $x=y$ is :
Correct Option: , 3
Solution:

