The major product [B]

Question:

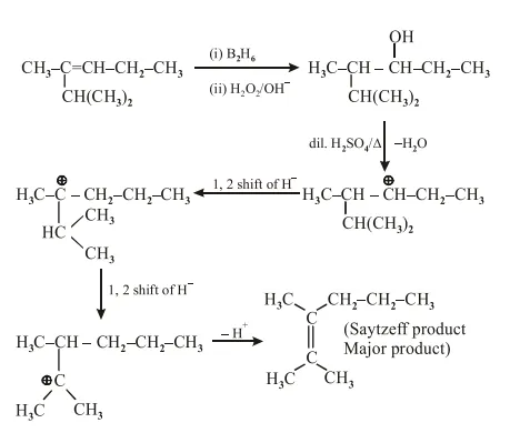
The major product $[\mathrm{B}]$ in the following sequence of reactions is :-


Correct Option: 1

Solution:

Leave a comment