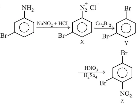
The major product Z obtained in the following reaction scheme is:

Question:

The major product $\mathrm{Z}$ obtained in the following reaction scheme is:


Correct Option: , 2

Solution:

Leave a comment