The mean and variance of five observations are 4.4 and 8.24 respectively.
The mean and variance of five observations are 4.4 and 8.24 respectively. If three of these are 1, 2 and 6, find the other two observations.
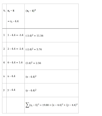
Given: Mean of 5 observations = 4.4
and Variance of 5 observations $=8.24$
Let the other two observations be $x$ and $y$
$\therefore$, our observations are $1,2,6, \mathrm{x}$ and $\mathrm{y}$
Now, we know that,
Mean $(\overline{\mathrm{x}})=\frac{\text { Sum of observations }}{\text { Total number of observations }}$
$4.4=\frac{1+2+6+x+y}{5}$
$\Rightarrow 5 \times 4.4=9+x+y$
$\Rightarrow 22-9=x+y$
$\Rightarrow 13=x+y$
or $x+y=13 \ldots$ (i)
Also,
Variance = 8.24
Variance, $\sigma^{2}=\frac{\sum\left(\mathrm{x}_{\mathrm{i}}-\overline{\mathrm{x}}\right)^{2}}{\mathrm{n}}$

So,
Variance, $\sigma^{2}=\frac{\sum\left(\mathrm{x}_{\mathrm{i}}-\overline{\mathrm{x}}\right)^{2}}{\mathrm{n}}$
$8.24=\frac{19.88+(x-4.4)^{2}+(y-4.4)^{2}}{5}$
$\Rightarrow 41.2=19.88+\left(x^{2}+19.36-8.8 x\right)+\left(y^{2}+19.36-8.8 y\right)$
$\Rightarrow 41.2-19.88=x^{2}+19.36-8.8 x+y^{2}+19.36-8.8 y$
$\Rightarrow 21.32=x^{2}+y^{2}+38.72-8.8(x+y)$
$\Rightarrow x^{2}+y^{2}+38.72-8.8(13)-21.32=0[$ from (i) $]$
$\Rightarrow x^{2}+y^{2}+17.4-114.4=0$
$\Rightarrow x^{2}+y^{2}-97=0$
$\Rightarrow x^{2}+y^{2}=97 \ldots$ (ii)
From eq. (i)
x + y = 17.4
Squaring both the sides, we get
$(x+y)^{2}=(13)^{2}$
$\Rightarrow x^{2}+y^{2}+2 x y=169$
$\Rightarrow 97+2 x y=169[$ from (ii)]
$\Rightarrow 2 x y=169-97$
$\Rightarrow 2 x y=72$
$\Rightarrow x y=36$
$\Rightarrow \mathrm{x}=\frac{36}{\mathrm{y}}$ …(iii)
Putting the value of x in eq. (i), we get
$x+y=13$
$\Rightarrow \frac{36}{y}+y=13$
$\Rightarrow \frac{36+y^{2}}{y}=13$
$\Rightarrow y^{2}+36=13 y$
$\Rightarrow y^{2}-13 y+36=0$
$\Rightarrow y^{2}-4 y-9 y+36=0$
$\Rightarrow y(y-4)-9(y-4)=0$
$\Rightarrow(y-4)(y-9)=0$
$\Rightarrow y-4=0$ and $y-9=0$
$\Rightarrow y=4$ and $y=9$
For y = 4
$x=\frac{36}{y}=\frac{36}{4}=9$
Hence, x = 9, y = 4 are the remaining two observations
For y = 9
$x=\frac{36}{y}=\frac{36}{9}=4$
Hence, x = 4, y = 9 are the remaining two observations
Thus, remaining two observations are 4 and 9.