The minimum force required to start pushing a body up a rough
Question:
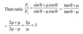
The minimum force required to start pushing a body up a rough (frictional coefficient $\mu$ ) inclined plane is $\mathrm{F}_{1}$ while the minimum force needed to prevent it from sliding down is $\mathrm{F}_{2}$. If the inclined plane makes an angle $\theta$ from the horizontal such that $\tan \theta=2 \mu$ then the ratio $\frac{F_{1}}{F_{2}}$ is :-
Correct Option: , 4
Solution:

