The number of points, having both co-ordinates as integers,

Question:

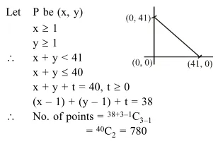
The number of points, having both co-ordinates as integers, that lie in the interior of the

triangle with vertices (0, 0), (0, 41) and (41, 0) is :

  1. 820

  2. 780

  3. 901

  4. 860


Correct Option: , 2

Solution:

Leave a comment