The plates of a capacitor are 2.00cm apart.
Question:
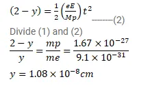
The plates of a capacitor are $2.00 \mathrm{~cm}$ apart. An electron-proton pair is released somewhere in the gap between the plates and it is found that the proton reaches the negative plate at the same time as the electron reaches the positive plate. At the distance from the negative plate was the pair released?
Solution:


