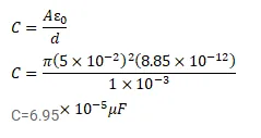
The plates of a parallel-plate capacitor are made of circular
Question:
The plates of a parallel-plate capacitor are made of circular discs of radii $5.0 \mathrm{~cm}$ each. If the separation between the plates is $1.0 \mathrm{~mm}$, what is the capacitance?
Solution:
