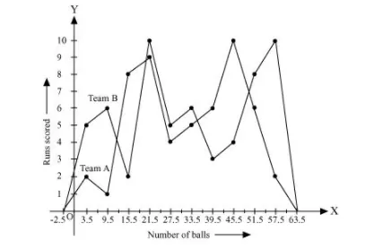
The runs scored by two teams A and B on the first 60 balls in a cricket match are given below:

Question.

The runs scored by two teams A and B on the first 60 balls in a cricket match are given below:

The runs scored by two teams A and B on the first 60 balls in a cricket match

Represent the data of both the teams on the same graph by frequency polygons.


Solution:

It can be observed that the class intervals of the given data are not continuous. There is a gap of 1 in between them. Therefore, $\frac{1}{2}=0.5$ has to be added to the upper class limits and $0.5$ has to be subtracted from the lower class limits.

Also, class mark of each interval can be found by using the following formula.

Class mark $=\frac{\text { Upper class limit }+\text { Lower class limit }}{2}$

Continuous data with class mark of each class interval can be represented as follows.

The runs scored by two teams A and B on the first 60 balls

By taking class marks on x-axis and runs scored on y-axis, a frequency polygon can be constructed as follows.

The runs scored by two teams A and B on the first 60 balls in

Leave a comment

Comments

Eswanth
Dec. 7, 2025, 6:35 a.m.
Same why we have take 2.5 here
Karthik reddy
Dec. 9, 2025, 6:35 a.m.
Hi Karthik reddy
Eswanth
Dec. 7, 2025, 6:35 a.m.
why we have take 2.5 here
Eswanth
Dec. 7, 2025, 6:35 a.m.
why we have take 2.5 here
Muskaan
Aug. 10, 2025, 6:35 a.m.
Why we have taken 2.5 here
Eswanth
Dec. 7, 2025, 6:35 a.m.
Same why we have take 2.5 here
Eswanth
Dec. 7, 2025, 6:35 a.m.
Same why we have take 2.5 here
Eswanth
Dec. 7, 2025, 6:35 a.m.
Same why we have take 2.5 here
Eswanth
Dec. 7, 2025, 6:35 a.m.
Same why we have take 2.5 here
Eswanth
Dec. 7, 2025, 6:35 a.m.
Same why we have take 2.5 here
G fi kg
March 10, 2025, 5:35 p.m.
Hi dlb is so if FL US