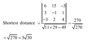
The shortest distance between the lines
Question:
The shortest distance between the lines
$\frac{x-3}{3}=\frac{y-8}{-1}=\frac{z-3}{1}$ and
$\frac{x+3}{-3}=\frac{y+7}{2}=\frac{z-6}{4}$ is
Correct Option: , 2
Solution:
