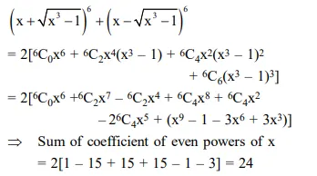
The sum of the co-efficients of all even degree terms in
Download now India's Best Exam Prepration App
Class 8-9-10, JEE & NEET
Video Lectures
Live Sessions
Study Material
Tests
Previous Year Paper
Revision
Question:
The sum of the co-efficients of all even degree terms in $\mathrm{x}$ in the expansion of $\left(x+\sqrt{x^{3}-1}\right)^{6}+\left(x-\sqrt{x^{3}-1}\right)^{6},(x>1)$ is equal to: