The surface of a metal is illuminated with the light of
Question:
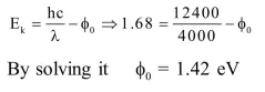
The surface of a metal is illuminated with the light of $400 \mathrm{~nm}$. The kinetic energy of the ejected photoelectrons was found to be $1.68 \mathrm{eV}$. The work function of the metal is : (hc $=1240 \mathrm{eV}-\mathrm{nm})$
Correct Option: , 4
Solution:
