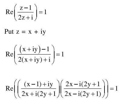
Question: If $\operatorname{Re}\left(\frac{z-1}{2 z+i}\right)=1$, where $z=x+i y$, then the point $(x, y)$ lies on a :
circle whose centre is at $\left(-\frac{1}{2},-\frac{3}{2}\right)$
circle whose diameter is $\frac{\sqrt{5}}{2}$
straight line whose slope is $\frac{3}{2}$
straight line whose slope is $-\frac{2}{3}$
Correct Option: , 2
Solution:

