The value of

Question:

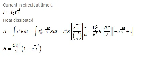
By evaluating $\int i^{2} R d t$, show that when a capacitor is charged by connecting it to a battery through a resistor, the energy dissipated as heat equals the energy stored in the capacitor.

Solution:

Leave a comment