Question:
The value of p for which the polynomial x3 + 4x2 − px + 8 is exactly divisible by (x−2) is
(a) 0
(b) 3
(c) 5
(d) 16
Solution:
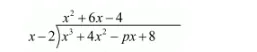
Here the given polynomial is $x^{3}+4 x^{2}-p x+8$
We have to find the value of p such that the polynomial is exactly divisible by ![]()
First we have to write equation in basic format of divisibility like this

$x^{3}-2 x^{2}$
$6 x^{2}-p x+8$
$6 x^{2}-12 x$
$12 x-p x+8$
$\frac{4 x+8}{16 x-p x}$
After solving, we have seeing here the reminder is = 16x − px
So, to find the value of p we put the reminder is equal to zero.
Therefore
$16 x-p x=0$
$\Rightarrow \quad 16 x=p x$
$\Rightarrow \quad p=16$
Hence option (d) is correct.