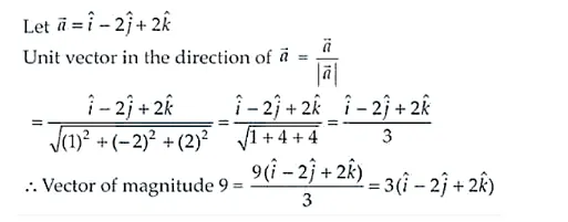
The vector in the direction of the vector
Question:
The vector in the direction of the vector $\hat{i}-2 \hat{j}+2 \hat{k}$ that has magnitude 9 is
(A) $\hat{i}-2 \hat{j}+2 \hat{k}$
(B) $\frac{\hat{i}-2 \hat{j}+2 \hat{k}}{3}$
(C) $3(\hat{i}-2 \hat{j}+2 \hat{k})$
(D) $9(\hat{i}-2 \hat{j}+2 \hat{k})$
Solution:
The correct option is (C).
