This question has Statement
Question:
This question has Statement-1 and Statement-2. of the four choices given after the statements, choose the one that best describes the two statements.
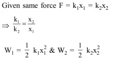
If two springs $\mathrm{S}_{1}$ and $\mathrm{S}_{2}$ of force constants $\mathrm{k}_{1}$ and $\mathrm{k}_{2}$, respectively, are stretched by the same force, it is found that more work is done on spring $S_{1}$ than on spring $S_{2}$.
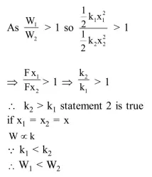
Statement-1: If stretched by the same amount, work done on $\mathrm{S}_{1}$, will be more than that on $\mathrm{S}_{2}$ Statement-2 : $\mathrm{k}_{1}<\mathrm{k}_{2}$
Correct Option: , 2
Solution:

