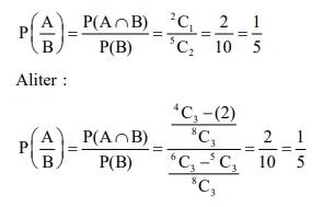
Question: Three numbers are chosen at random without replacement from $\{1,2,3, \ldots . .8\}$. The probability that their minimum is 3 , given that their maximum is 6 , is:
$\frac{2}{5}$
$\frac{3}{8}$
$\frac{1}{5}$
$\frac{1}{4}$
Correct Option: , 3
Solution:

