Two capacitors of capacitances
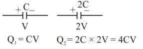
Two capacitors of capacitances $\mathrm{C}$ and $2 \mathrm{C}$ are charged to potential differences $\mathrm{V}$ and $2 \mathrm{~V}$, respectively. These are then connected in parallel in such a manner that the positive terminal of one is connected to the negative terminal of the other. The final energy of this configuration is:
Correct Option: , 4


$\Rightarrow$ By conservation of charge
$\mathrm{q}_{\mathrm{i}}=\mathrm{q}_{\mathrm{f}}$
$\mathrm{Q}_{1}+\mathrm{Q}_{2}=\mathrm{q}_{1}+\mathrm{q}_{2}$
$4 \mathrm{CV}-\mathrm{CV}=(\mathrm{C}+2 \mathrm{C}) \mathrm{V}_{\mathrm{C}}$
$\mathrm{V}_{\mathrm{C}}=\frac{3 \mathrm{CV}}{3 \mathrm{C}} \Rightarrow \mathrm{V}$

$\Rightarrow \frac{1}{2} \times(3 \mathrm{C}) \times \mathrm{V}_{\mathrm{C}}^{2}$
$=\frac{1}{2} \times 3 \mathrm{C} \times \mathrm{V}^{2}=\frac{3}{2} \mathrm{CV}^{2}$