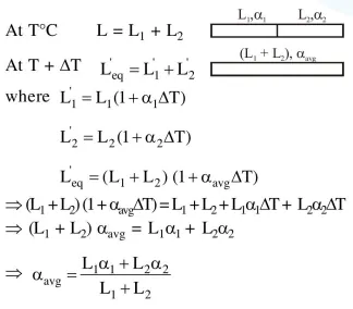
Question:
Two different wires having lengths $\mathrm{L}_{1}$ and $\mathrm{L}_{2}$, and respective temperature coefficient of linear expansion $\alpha_{1}$ and $\alpha_{2}$, are joined end-to-end. Then the effective temperature coefficient of linear expansion is :
Correct Option: , 4
Solution:
