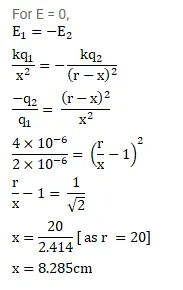
Question:
Two particles $A$ and $B$ having charges of $+2.00^{-6} \times 10^{-6} \mathrm{C}$ and of $-4.00^{-6} \times 10^{-6}$ Crespectively are held fixed at a separation of $20.0 \mathrm{~cm}$. Locate the point(s) on the line AB where
(a) the electic field is zero
(b) The electric potential is zero.
Solution:
