Two particles are executing simple harmonic motion of the same amplitude
Question:
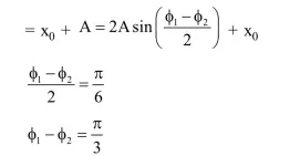
Two particles are executing simple harmonic motion of the same amplitude A and frequency $\omega$ along the $\mathrm{x}$-axis. Their mean position is separated by distance $\mathrm{X}_{0}\left(\mathrm{X}_{0}>\mathrm{A}\right)$. If the maximum separation between them is $\left(X_{0}+A\right)$, the phase difference between their motion is :-
Correct Option: , 4
Solution:

