Two pipes running together can fill a tank in $11 \frac{1}{9}$ minutes. If one pipe takes 5 minutes more than the other to fill the tank separately, find the time in which each pipe would fill the tank separately.
Let the first pipe takes $x$ minutes to fill the tank. Then the second pipe will takes $=(x+5)$ minutes to fill the tank.
Since, the first pipe takes $x$ minutes to fill the tank.
Therefore, portion of the tank filled by the first pipe in one minutes $=\frac{1}{x}$
So, portion of the tank filled by the first pipe in $11 \frac{1}{9}$ minutes $=\frac{100}{9 x}$
Similarly,
Portion of the tank filled by the second pipe in $11 \frac{1}{9}$ minutes $=\frac{100}{9(x+5)}$
It is given that the tank is filled in $11 \frac{1}{9}$ minutes.
So,
$\frac{100}{9 x}+\frac{100}{9(x+5)}=1$
$\frac{100(x+5)+100 x}{9 x(x+5)}=1$
$100 x+500+100 x=9 x^{2}+45 x$
$9 x^{2}+45 x-200 x-500=0$
$9 x^{2}-155 x-500=0$
$9 x^{2}-180 x+25 x-500=0$
$9 x(x-20)+25(x-20)=0$
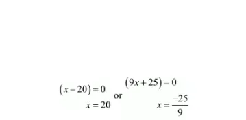
$(x-20)(9 x+25)=0$

But, $x$ cannot be negative.
Therefore, when $x=20$ then
$(x+5)=20+5=25$
Hence, the first water tape will takes 20 min to fill the tank, and the second water tape will take 25 min to fill the tank.