Two positive charges of magnitude 'q' are placed at the ends of a side (side 1 ) of a square of side '2a'.
Question:
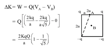
Two positive charges of magnitude ' $q$ ' are placed at the ends of a side (side 1 ) of a square of side '2a'. Two negative charges of the same magnitude are kept at the other corners. Starting from rest, if a charge $\mathrm{Q}$ moves from the middle of side 1 to the centre of square, its kinetic energy at the centre of square is :-
Correct Option: 1
Solution:
