Using properties of determinants prove that:
Question:
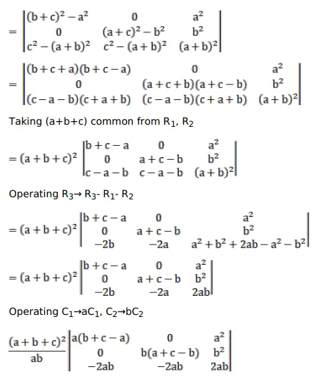
Using properties of determinants prove that:
$\left|\begin{array}{ccc}(b+c)^{2} & a b & c a \\ a b & (a+c)^{2} & b c \\ a c & b c & (a+b)^{2}\end{array}\right|=2 a b c(a+b+c)^{3}$
Solution:


