Using properties of determinants prove that:

Question:

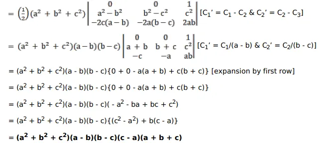
Using properties of determinants prove that:

$\left|\begin{array}{lll}(b+c)^{2} & a^{2} & b c \\ (c+a)^{2} & b^{2} & c a \\ (a+b)^{2} & c^{2} & a b\end{array}\right|=\left(a^{2}+b^{2}+c^{2}\right)(a-b)(b-c)(c-a)(a+b+c)$

Solution:

 

Leave a comment