Question:
What should be subtracted to the polynomial $x^{2}-16 x+30$, so that 15 is the zero of the resulting polynomial?
(a) 30
(b) 14
(c) 15
(d) 16
Solution:
We know that, if $x=\alpha$, is zero of a polynomial then $x-\alpha$ is a factor of $f(x)$
Since 15 is zero of the polynomial $f(x)=x^{2}-16 x+30$, therefore $(x-15)$ is a factor of $f(x)$
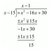
Now, we divide $f(x)=x^{2}-16 x+30$ by $(x-15)$ we get

Thus we should subtract the remainder 15 from $x^{2}-16 x+30$,
Hence, the correct choice is (c)