When monochromatic red light is used instead of blue light in a convex lens,

Question:

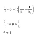
When monochromatic red light is used instead of blue light in a convex lens, its focal length will: 

  1.  Does not depend on colour of light

     

  2. Increase

  3. Decrease

  4. Remain same


Correct Option: , 2

Solution:

Leave a comment