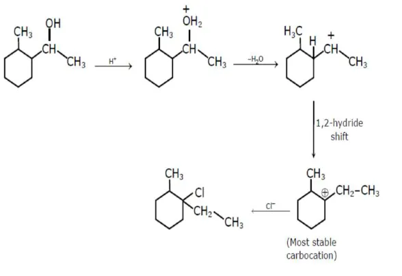
Which is the final product (major) ' $A$ ' in the given reaction?

Question:

Which is the final product (major) ' $A$ ' in the given reaction?


Correct Option: , 3

Solution:

Leave a comment