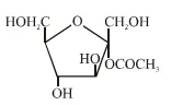
Which of the following compounds will behave as a reducing sugar in an aqueous

Question:

Which of the following compounds will behave as a reducing sugar in an aqueous $\mathrm{KOH}$ solution $?$


Correct Option: 1

Solution:

Leave a comment