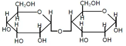
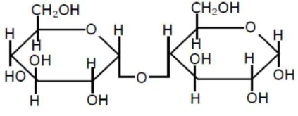
Which of the following is correct structure of $lpha$-anomer of maltose :

Question:

Which of the following is correct structure of $\alpha$-anomer of maltose :


Correct Option: , 4

Solution:

Leave a comment