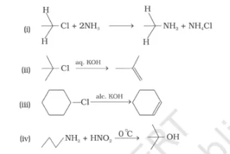
Which of the following reactions

Question:

Which of the following reactions are correct?

Solution:

Option (i) and (iii) are the answers.

Leave a comment