Which of the following reactions will not produce a racemic product ?

Question:

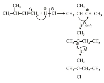
Which of the following reactions will not produce a racemic product ?


Correct Option: 1

Solution:

(No chiral centre, so no racemisation possible)

Leave a comment