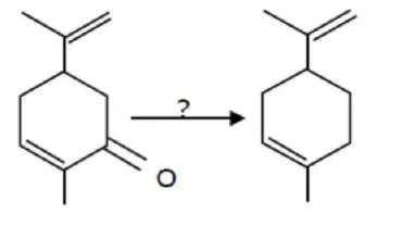
Question: 
Which of the following reagent is suitable for the preparation of the product in the above reaction.
$\operatorname{Red} P+C l_{2}$

$\mathrm{Ni} / \mathrm{H}_{2}$
$\mathrm{NaBH}_{4}$
Correct Option: , 2
Solution:

It is wolf-kishner reduction of carbonyl compounds.