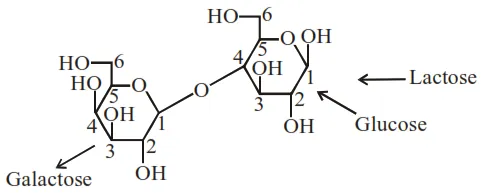
Question: Which of the glycosidic linkage between galactose and glucose is present in lactose?
C-1 of galactose and C-4 of glucose
C-1 of glucose and C-6 of galactose
C-1 of glucose and C-4 of galactose
C-1 of galactose and C-6 of glucose
Correct Option: 1
Solution:

In lactose linkage is formed between $C_{1}$ of galactose and $\mathrm{C}_{4}$ of gluocse.