Which one of the following is a tautology?

Question:

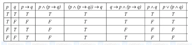
Which one of the following is a tautology?

  1. (1) $(p \wedge(p \rightarrow q)) \rightarrow q$

  2. (2) $q \rightarrow(p \wedge(p \rightarrow q))$

  3. (3) $p \wedge(p \vee q)$

  4. (4) $p \vee(p \wedge q)$


Correct Option: 1

Solution:

Leave a comment