Start Prep From 0 & Get IIT Bombay with Most Powerful JEE Dropper Course

Sets - JEE Main Previous Year Question with Solutions

JEE Main Previous Year Question of Math with Solutions are available at eSaral. Practicing JEE Main Previous Year Papers Questions of mathematics will help the JEE aspirants in realizing the question pattern as well as help in analyzing weak & strong areas. eSaral helps the students in clearing and understanding each topic in a better way. eSaral is providing complete chapter-wise notes of Class 11th and 12th both for all subjects. Besides this, eSaral also offers NCERT Solutions, Previous year questions for JEE Main and Advance, Practice questions, Test Series for JEE Main, JEE Advanced and NEET, Important questions of Physics, Chemistry, Math, and Biology and many more. Download eSaral app for free study material and video tutorials.
Q. If $\mathrm{A}, \mathrm{B}$ and $\mathrm{C}$ are three sets such that $\mathrm{A} \cap \mathrm{B}=\mathrm{A} \cap \mathrm{C}$ and $\mathrm{A} \cup \mathrm{B}=\mathrm{A} \cup \mathrm{C},$ then :- (1) B = C $(2) \mathrm{A} \cap \mathrm{B}=\phi$ (3) A = B (4) A = C [AIEEE- 2009]
Ans. (1) $\mathrm{n}(\mathrm{A})=3, \mathrm{n}(\mathrm{B})=6, \mathrm{n}(\mathrm{A} \cap \mathrm{B})=3(\text { maximum })$ so $\mathrm{n}(\mathrm{A} \cup \mathrm{B})=\mathrm{n}(\mathrm{A})+\mathrm{n}(\mathrm{B})-\mathrm{n}(\mathrm{A} \cap \mathrm{B})$ $3+6-3$ $\mathrm{n}(\mathrm{A} \cup \mathrm{B})=6$ so minimum no of elements in $\mathrm{A} \cup \mathrm{B}$ is $6 .$
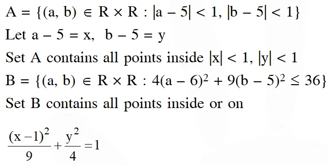
Q. Two sets A and B are as under $\mathrm{A}=\{(\mathrm{a}, \mathrm{b}) \in \mathrm{R} \times \mathrm{R}:|\mathrm{a}-5|<1 \text { and }|\mathrm{b}-5|<1\}$ $\mathrm{B}=\left\{(\mathrm{a}, \mathrm{b}) \in \mathrm{R} \times \mathrm{R}: 4(\mathrm{a}-6)^{2}+9(\mathrm{b}-5)^{2} \leq 36\right\} .$ Then (1) $\mathrm{A} \subset \mathrm{B}$ (2) $\mathrm{A} \cap \mathrm{B}=\phi$ (an empty set) (3) neither $\mathrm{A} \subset \mathrm{B}$ nor $\mathrm{B} \subset \mathrm{A}$ (4) $\mathrm{B} \subset \mathrm{A}$ [JEE-MAINS-2018]
Ans. (1)
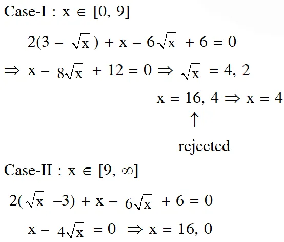
Q. Let $\mathrm{S}=\{\mathrm{x} \in \mathrm{R}: \mathrm{x} \geq 0 \text { and } 2|\sqrt{\mathrm{x}}-3|+\sqrt{\mathrm{x}}(\sqrt{\mathrm{x}}-6)+6=0\} .$ Then $\mathrm{S}:$ (1) contains exactly one element. (2) contains exactly two elements. (3) contains exactly four elements. (4) is an empty set. [JEE-MAINS-2018]
Ans. (2)

Leave a comment

Comments

Vansh
March 29, 2025, 6:35 a.m.
please give the questions for the begginer who have just started class 11th
amiras
May 1, 2024, 6:35 a.m.
sir give us more pyq
online pharmacies in usa
Oct. 25, 2023, 7:03 a.m.
Write more, thats all I have to say. Literally, it seems as though you relied on the video to make your point. You definitely know what youre talking about, why throw away your intelligence on just posting videos to your blog when you could be giving us something informative to read?
User ID 676758
Dec. 15, 2021, 7:12 a.m.
More questions
Nikhil Kumar
Sept. 23, 2021, 8:09 p.m.
Provide more number of questions and give correct solutions of each regarding questions.
balaji jha
Aug. 14, 2021, 8:30 a.m.
Please give more questions at this website πŸ˜”πŸ˜”πŸ˜”πŸ˜”πŸ˜”
siddhant
Aug. 9, 2021, 3:29 p.m.
pleae provide more number of questions.
Op lol
July 23, 2021, 6:06 p.m.
E sala become rotten u provide more no of Question and do their best solution But yo do wrong solution
lol
May 25, 2021, 11:31 p.m.
oof iski bhi aukaat nahi hai kya
Shoba
Dec. 29, 2020, 8:23 p.m.
Y only few questions want more number of questions
Monu
Dec. 1, 2020, 1:51 p.m.
Wrong answer in 3
Abidh zain
Nov. 27, 2020, 8:11 p.m.
Please upload more questions
Manas
Nov. 24, 2020, 11:34 a.m.
Not giving sol correct that problem rather than that no problem good
HIGGS bosons
Nov. 22, 2020, 8:23 p.m.
Not so hard question
Anonymous
Oct. 2, 2020, 9:52 a.m.
Pls help me with the 2nd question
Rahul shArma
Sept. 29, 2020, 6:04 p.m.
Maja aa gaya
Siya
Sept. 14, 2020, 10:52 a.m.
What is this..?😢😢......only a few questions are present here...it would be better for students if some more highly skilled questions are present here...
Ikshan
Sept. 10, 2020, 5:28 p.m.
Only few questions are there
Peeyush shukla
Sept. 4, 2020, 8:41 p.m.
Wrong answer Right answer is 1 option
Manoj
Sept. 2, 2020, 9:06 a.m.
Not satisfied
Rajath
Aug. 28, 2020, 4:56 p.m.
Super πŸ‘ŒπŸ‘Œ good job πŸ™πŸ™πŸ™
Srigowthami
Aug. 27, 2020, 8:20 p.m.
Not satisfied..with these qns ..want more to perfect
derek
Aug. 27, 2020, 6:14 a.m.
solutions are not correct plz correct them
Airin ali
Aug. 23, 2020, 10:54 a.m.
Need more previous questions based on all chapters
Aamru
Aug. 20, 2020, 6:03 p.m.
Nise
Khushi
Aug. 12, 2020, 9:05 p.m.
We want more questions
Parvez
July 16, 2020, 9:36 p.m.
it will benefit if some more questions are there
Parcel
July 16, 2020, 9:35 p.m.
it will benefit if some more questions are there
Boss
July 10, 2020, 8:03 p.m.
It's really helpful I like it
Arafsghdhrhth
July 4, 2020, 1:20 p.m.
Very poor solutions
suhana solanki
May 23, 2020, 10:30 p.m.
your site is very useful thanks
Pavithra
May 22, 2020, 9:44 a.m.
Only three questions ,thank you so much
Pavithra
May 16, 2020, 7:15 p.m.
Only 3 questions.more questions ,more benefit.