Start Prep From 0 & Get IIT Bombay with Most Powerful JEE Dropper Course

Atomic Structure - JEE Main Previous Year Questions with Solutions

JEE Main Previous Year Papers Questions of Chemistry With Solutions are available at eSaral.   Simulator   Previous Years AIEEE/JEE Mains Questions
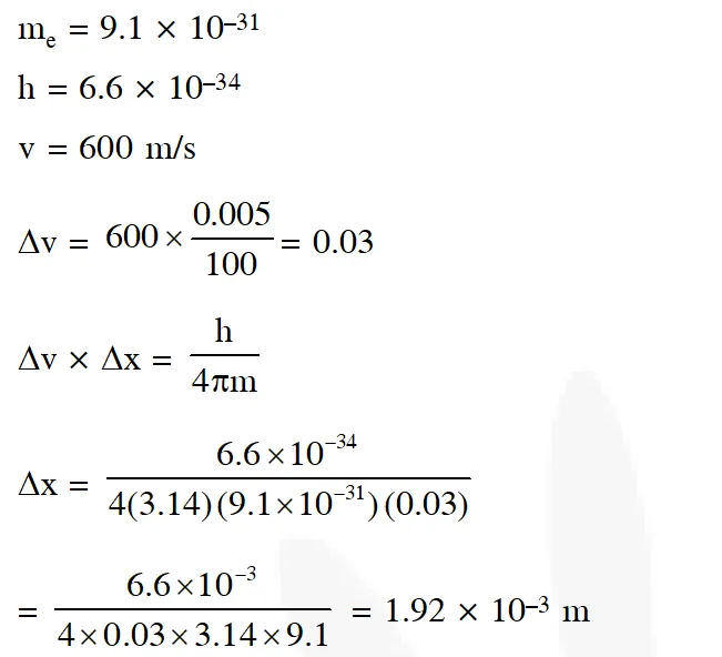
Q. In an atom, an electron is moving with a speed of 600 m/s with an accuracy of 0.005%. Certainity with which the position of the electron can be located is ($\mathrm{Ch}=6.6 \times 10^{-34} \mathrm{kg} \mathrm{m}^{2} \mathrm{s}^{-1}$, mass of electron, $\mathrm{e}_{\mathrm{m}}=9.1 \times 10^{-31} \mathrm{kg}$):- (1) $1.92 \times 10^{-3} \mathrm{m}$ (2) $3.84 \times 10^{-3} \mathrm{m}$ (3) $1.52 \times 10^{-4} \mathrm{m}$ (4) $5.10 \times 10^{-3} \mathrm{m}$ [AIEEE-2009]
Ans. (1)
Q. Calculate the wavelength (in nanometer) associated with a proton moving at $1.0 \times 10^{3} \mathrm{ms}^{-1}$ (Mass of proton = $1.67 \times 10^{-27} \mathrm{kg}$ and $\mathrm{h}=6.63 \times 10^{-34} \mathrm{Js}$) :- (1) 2.5 nm (2) 14.0 nm (3) 0.032 nm (4) 0.40 nm [AIEEE-2009]
Ans. (4) $\mathrm{m}_{\mathrm{p}}=1.67 \times 10^{-27}$ $\mathrm{h}=6.63 \times 10^{-34}$ $\mathrm{v}=10^{3}$ $\lambda=\frac{\mathrm{h}}{\mathrm{mv}}=\frac{6.63 \times 10^{-34}}{1.67 \times 10^{-27} \times 10^{3}}$ $=3.97 \times 10^{-7+3}$ $=3.97 \times 10^{-10}$ $=\frac{3.9 \times 10^{-10}}{10^{-9}} \mathrm{nm} \quad=0.40 \mathrm{nm}$
Q. The energy required to break one mole of Cl–Cl bonds in Cl2 is 242 kJ $\mathrm{mol}^{-1}$. The longest wavelength of light capable of breaking a single Cl–Cl bond is $\left(\mathrm{C}=3 \times 10^{8} \mathrm{ms}^{-1} \text { and } \mathrm{N}_{\mathrm{A}}=6.02 \times 10^{23} \mathrm{mol}^{-1}\right)$ (1) 494 nm (2) 594 nm (3) 640 nm (4) 700 nm [AIEEE-2010]
Ans. (1) $\mathrm{B.E.}=242 \mathrm{kJ} / \mathrm{mol}$ $\mathrm{E}=\frac{\mathrm{hcN}_{\mathrm{A}}}{\lambda}$ $10^{3} \times 242 \times \lambda=3 \times 10^{8} \times 6.626 \times 10^{-34} \times 6.02 \times 10^{23}$ $\lambda=\frac{3 \times 6.626 \times 6.02 \times 10^{-26+23}}{242}$ $=0.494 \times 10^{-3} \times 10^{-3}$ = 494 nm
Q. Ionisation energy of $\mathrm{He}^{+}$ is $19.6 \times 10^{-18} \mathrm{J}$ atom $^{-1}$. The energy of the first stationary state (n = 1) of $\mathrm{L} \mathbf{i}^{2+}$ is:- (1) $8.82 \times 10^{-17} \mathrm{J}$ atom $^{-1}$ (2) $4.41 \times 10^{-16} \mathrm{J}$ atom $^{-1}$ (3) $-4.41 \times 10^{-17} \mathrm{J}$ atom $^{-1}$ (4) $-2.2 \times 10^{-15} \mathrm{J}$ atom $^{-1}$ [AIEEE-2010]
Ans. (3) I.E. $=19.6 \times 10^{-18}$ I.E $\propto \mathrm{z}^{2}$ $\frac{(\mathrm{I.E.})_{\mathrm{Li}^{+2}}}{(\mathrm{I.E.})_{\mathrm{He}}}=\frac{\mathrm{Z}_{\mathrm{Li}}^{2}}{\mathrm{Z}_{\mathrm{He}}^{2}} \quad \mathrm{E}_{1}=\frac{9}{4} \times 19.6 \times 10^{-18}$ $=-4.41 \times 10^{-17}$
Q. The frequency of light emitted for the transition n = 4 to n = 2 of He+ is equal to the transition in H atom corresponding to which of the following (1) n = 3 to n = 1 (2) n = 2 to n = 1 (3) n = 3 to n = 2 (4) n = 4 to n = 3 [AIEEE-2011]
Ans. (2)
Q. The electrons identified by quantum numbers n and  :- (a) n = 4 ,  = 1 (b) n = 4,  = 0 (c) n = 3,  = 2 (d) n = 3,  = 1 Can be placed in order of increasing energy as (1) (a) < (c) < (b) < (d) (2) (c) < (d) < (b) < (a) (3) (d) < (b) < (c) < (a) (4) (b) < (d) < (a) < (c) (3) (d) < (b) < (c) < (a) (4) (b) < (d) < (a) < (c) [AIEEE-2012]
Ans. (3) (d) < (b) < (c) < (a) Acc. to (n + ) rule.
Q. If the kinetic energy of an electron is increased four times, the wavelength of the de-Broglie wave associated with it would become :- (1) Two times (2) Half (3) One fourth (4) Four time [JEE-Main(online2012]
Ans. (2) $\lambda \propto \frac{1}{\sqrt{\mathrm{KE}}}$
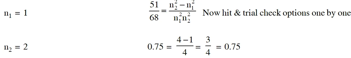
Q. The wave number of the first emission line in the Balmer series of H-Spectrum is : (R = Rydberg constant) : (1) $\frac{3}{4} \mathrm{R}$ (2) $\frac{9}{400} \mathrm{R}$ (3) $\frac{5}{36} \mathrm{R}$ (4) $\frac{7}{6} \mathrm{R}$ [JEE-Main(online) 2013]
Ans. (3) $\bar{v}=\frac{1}{\mathrm{R}}\left(\frac{1}{2^{2}}-\frac{1}{3^{2}}\right)=\frac{5}{36 \mathrm{R}}$
Q. The de Broglie wavelength of a car of mass 1000 kg and velocity 36 km/hr is : $\left(\mathrm{h}=6.63 \times 10^{-34} \mathrm{J} \mathrm{s}\right)$ (1) $6.626 \times 10^{-31} \mathrm{m}$ (2) $6.626 \times 10^{-34} \mathrm{m}$ (3) $6.626 \times 10^{-38} \mathrm{m}$ (4) $6.626 \times 10^{-30} \mathrm{m}$ [JEE-Main(online) 2013]
Ans. (3)
Q. For which of the following particles will it be most difficult to experimentally verify the de-Broglie relationship? (1) a dust particle (2) an electron (3) a proton (4) an -particle. [JEE-Main(online) 2014]
Ans. (1)
Q. If the binding energy of the electron in a hydrogen atom is 13.6 eV, the energy required to remove the electron from the first excited state of $\mathbf{L} \mathbf{i}^{++}$ is : (1) 13.6 eV (2) 30.6 eV (3) 122.4 eV (4) 3.4 eV [JEE-Main(online) 2014]
Ans. (2) B.E. $=3.4 \times 9=30.6 \mathrm{eV}$
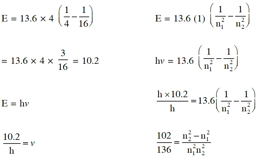
Q. Based on the equation $\Delta \mathrm{E}=-2.0 \times 10^{-18} \mathrm{J}\left(\frac{1}{\mathrm{n}_{2}^{2}}-\frac{1}{\mathrm{n}_{1}^{2}}\right)$ the wavelength of the light that must be absorbed to excite hydrogen electron from level n = 1 to level n $=2$ will be $\left(\mathrm{h}=6.625 \times 10^{-34} \mathrm{Js}, \mathrm{C}=3 \times 10^{8} \mathrm{ms}^{-1}\right)$ (1) $2.650 \times 10^{-7} \mathrm{m}$ (2) $1.325 \times 10^{-7} \mathrm{m}$ (3) $1.325 \times 10^{-10} \mathrm{m}$ (4) $5.300 \times 10^{-10} \mathrm{m}$ [JEE-Main(online) 2014]
Ans. (2) $\frac{1}{\lambda}=\frac{2 \times 10^{-18}}{\mathrm{hc}}\left[\frac{1}{(1)^{2}}-\frac{1}{(2)^{2}}\right]$ $\Rightarrow \frac{1}{\lambda}=\frac{2 \times 10^{-18}}{6.625 \times 10^{-34} \times 3 \times 10^{8}} \times \frac{3}{4}$ $\Rightarrow \lambda=\frac{2 \times 6.625 \times 10^{-34} \times 10^{8}}{10^{-18}}$ $=13.25 \times 10^{-8}$ $=1.325 \times 10^{-7} \mathrm{m}$
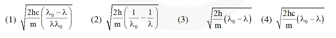
Q. If be the threshold wavelength and wavelength of incident light, the velocity of photoelectron ejected from the metal surface is [JEE-Main(online) 2014]
Ans. (1) $\mathrm{E}=\phi+\frac{1}{2} \mathrm{mv}^{2}$ $\Rightarrow \frac{\mathrm{hc}}{\lambda}=\frac{\mathrm{hc}}{\lambda_{0}}+\frac{1}{2} \mathrm{mv}^{2}$ $\Rightarrow \mathrm{v}^{2}=\frac{2 \mathrm{hc}}{\mathrm{m}}\left[\frac{1}{\lambda}-\frac{1}{\lambda_{0}}\right] \Rightarrow \mathrm{v}=\sqrt{\frac{2 \mathrm{hc}}{\mathrm{m}}\left[\frac{1}{\lambda}-\frac{1}{\lambda_{0}}\right]}$ $\Rightarrow \mathrm{v}=\sqrt{\frac{2 \mathrm{hc}}{\mathrm{m}}\left[\frac{\lambda_{0}-\lambda}{\lambda \lambda_{0}}\right]}$
Q. Ionization energy of gaseous Na atoms is 495.5 $\mathrm{kjmol}^{-1}$ . The lowest possible frequency of light that ionizes a sodium atom is $\left(\mathrm{h}=6.626 \times 10^{-34} \mathrm{Js}, \mathrm{N}_{\mathrm{A}}=6.022 \times 10^{23} \mathrm{mol}^{-1}\right)$ (1) $3.15 \times 10^{15} \mathrm{s}^{-1}$ (2) $4.76 \times 10^{14} \mathrm{s}^{-1}$ (3) $1.24 \times 10^{15} \mathrm{s}^{-1}$ (4) $7.50 \times 10^{4} \mathrm{s}^{-1}$ [JEE-Main(online) 2014]
Ans. (3) $\Delta \mathrm{E}=\mathrm{hv}$ $\mathrm{v}=\frac{\Delta \mathrm{E}}{\mathrm{h}}$ $\mathrm{v}=\frac{495.5 \times 10^{3} \mathrm{Joule}}{6.023 \times 10^{23}} \times \frac{1}{6.626 \times 10^{-34}}$ $\mathrm{v}=1.24 \times 10^{15} \mathrm{sec}^{-1}$
Q. Which of the following is the energy of a possible excited state of hydrogen? (1) –3.4 eV (2) +6.8 eV (3) +13.6 eV (4) –6.8 eV [JEE-Main(offline) 2015]
Ans. (1) For H-atom, (Z = 1) $\mathrm{E}_{\mathrm{n}}=-13.6 \times \frac{\mathrm{Z}^{2}}{\mathrm{n}^{2}} \mathrm{eV}$ $\begin{aligned} \therefore \text { So for } \mathrm{E}_{1} &=-13.6 \mathrm{eV} \\ \mathrm{E}_{2} &=-3.4 \mathrm{eV} \end{aligned}$
Q. A stream of electrons from a heated filament was passed between two charged plates kept at a potential difference V esu. If e and m are charge and mass of an electron respectively, then the value of $\mathrm{h} / \lambda$ (where $\lambda$is wavelength associated with electron wave) is given by : (1) $\sqrt{2 \mathrm{meV}}$ (2) mev (3) $2 \mathrm{meV}$ (4) $\sqrt{\mathrm{meV}}$ [JEE-Main 2016]
Ans. (1) As electron of charge 'e' is passed through 'V' volt, kinetic energy of electron becomes = 'eV' As wavelength of $e^{-}$ wave = $(\lambda)=\frac{\mathrm{h}}{\sqrt{2 \mathrm{m} \cdot \mathrm{K} \cdot \mathrm{E}}}$ $\lambda=\frac{\mathrm{h}}{\sqrt{2 \mathrm{meV}}}$ $\therefore \quad \frac{\mathrm{h}}{\lambda}=\sqrt{2 \mathrm{meV}}$
Q. The radius of the second Bohr orbit for hydrogen atom is : (Planks const. $\mathrm{h}=6.6262 \times 10^{-34} \mathrm{Js}$; mass of electron $=9.1091 \times 10^{-31} \mathrm{kg} ;$ charge of electron $\mathrm{e}=$ $1.60210 \times 10^{-19} \mathrm{C}:$ permittivity of vaccuml $\left.\epsilon_{0}=8.854185 \times 10^{-12} \mathrm{kg}^{-1} \mathrm{m}^{-3} \mathrm{A}^{2}\right)$ [JEE-Main 2017]
Ans. (4) Radius of $\mathbf{n}^{\mathrm{th}}$ Bohr orbit in H-atom Radius of II Bohr orbit $=0.53 \times(2)^{2}$

Leave a comment

Comments

fnfOzvSR
March 30, 2026, 3:16 a.m.
1
fnfOzvSR
March 30, 2026, 3:16 a.m.
1
fnfOzvSR
March 30, 2026, 3:14 a.m.
1
fnfOzvSR
March 30, 2026, 3:14 a.m.
1
Sekh Nazmul
May 13, 2025, 9:46 a.m.
Really thankful for the Esaral team..
Aryan singh
May 10, 2024, 6:35 a.m.
Thank you sir but The question were too basic now jee will surely ask tougher than this so please provide some hard questions sir ..
pharmacy
Oct. 18, 2023, 7:03 a.m.
Hey there I am so excited I found your webpage, I really found you by accident, while I was researching on Askjeeve for something else, Nonetheless I am here now and would just like to say thanks a lot for a fantastic post and a all round enjoyable blog (I also love the theme/design), I don’t have time to go through it all at the minute but I have saved it and also added in your RSS feeds, so when I have time I will be back to read more, Please do keep up the fantastic jo.
Tanya jaiswal
Jan. 17, 2024, 7:03 a.m.
Thanks sir☺☺
Ashishkumarranjan880gmail
Sept. 1, 2024, 12:09 p.m.
Thanks 😃 sir
Sanskruti
July 7, 2023, 6:35 a.m.
Thanks sir
Sathwik
June 25, 2023, 6:35 a.m.
Try to post even tougher questions they r so easy to answer
Rishu
May 3, 2023, 6:35 a.m.
1 bhi sum solve nhi hua I'm very much demotivated 😭😭😭
Saurabh pimple
April 29, 2023, 6:35 a.m.
Sir you are op! Thanks for providing pyq
Saurabh pimple
April 29, 2023, 6:35 a.m.
Sir you are op! Thanks for providing pyq
Saurabh pimple
April 29, 2023, 6:35 a.m.
Sir you are op! Thanks for providing pyq
Shivani
Oct. 1, 2021, 9:09 p.m.
Thanks for this
Piyush
June 26, 2021, 6:46 a.m.
Op
aj2
June 15, 2021, 1:45 p.m.
prompt(1)
aj
June 15, 2021, 1:44 p.m.
<b>this is bold</b>
Vijaya durga
May 31, 2021, 5:49 a.m.
Very useful information regarding to atomic structure I prefer esaral for this kind of solutions and questions
You worst Nightmare
May 26, 2021, 10:43 a.m.
There are good but less in number.
Isha
April 24, 2021, 9:12 p.m.
Excellent questions
Shankar
Feb. 28, 2021, 8:08 p.m.
Nice really I had nice revision thank u very much esaral
VAIDIK
Feb. 16, 2021, 3:58 p.m.
I LIKE THIS WEBSITE BCZ THEY PROVIDE QUESTIONS SPECIFICALLY WHICH WERE ASKED IN JEE ONLY SO DURING EXAM TIME WE CAN KNOW THAT WHAT KING OF QUESTION WILL BE GONNA ASK IN JEE
anitha
Jan. 6, 2021, 10:08 p.m.
nice questions
rebel
Nov. 18, 2020, 7:48 p.m.
good questions but we need some m ore practice
Ly
Oct. 28, 2020, 8:11 a.m.
Nice question
some where on earth
Oct. 11, 2020, 11:53 a.m.
good but we need some more questions
A falcon slayer
Sept. 15, 2020, 12:14 a.m.
Thanks
Harsh
Sept. 13, 2020, 1:07 a.m.
thnx bro! appreciated
The Brook
Sept. 9, 2020, 6:47 p.m.
Thank u man......
Pavan
Sept. 8, 2020, 10:46 p.m.
It is very helpful for me👍👍👍
Dj
Sept. 6, 2020, 2:13 p.m.
Very very helpful for me👍👍👍✌✌
Aj
Sept. 4, 2020, 10:48 a.m.
thank you so much
Anuruddh
Sept. 2, 2020, 5:30 p.m.
🤘😝🤘Fantastic questions
Ace
Aug. 28, 2020, 1:11 p.m.
Niceeeeeeeeee!!!!!!!!!!! THANK YOU!
Sayali
Aug. 27, 2020, 11:01 p.m.
Nice questions👍👍
Akhila
Aug. 24, 2020, 4:41 p.m.
Nice questions. Thank you for your help.
Sneka
Aug. 22, 2020, 11:52 p.m.
It was helpful
Super machi
Aug. 19, 2020, 10:52 a.m.
Hi thanks you ☺️🙂😽
Stranger
Aug. 11, 2020, 7:48 p.m.
We owe a large time man...!
pratham raj bhardwaj
July 23, 2020, 3:43 p.m.
it was awesome sir
Shreya Ladke
July 10, 2020, 11:06 a.m.
👍🏻👍🏻👍🏻👍🏻👍🏻👍🏻👍🏻👍🏻👍🏻👍🏻👍🏻👍🏻👍🏻👍🏻👍🏻👍🏻👍🏻
PRIYA
July 7, 2020, 2:25 p.m.
THANK YOU IT WAS VERY HELPFULL
Roopali
July 1, 2020, 8:34 p.m.
It was very useful🙂🙂
Simran
June 30, 2020, 12:43 a.m.
Thanks ,it was very helpful.
Rishik
June 27, 2020, 7:42 a.m.
Nice
Priyanshu Chauhan
June 15, 2020, 7:42 p.m.
Very interesting sets of questions
Spoorti hiregoudar
May 29, 2020, 4:28 p.m.
I good practice on this chapter so thank you soon muchhhh
akshu
May 26, 2020, 7:52 a.m.
very nice
Akhil
May 24, 2020, 2:06 p.m.
Chill bro
Ranga Raju
May 22, 2020, 8:45 p.m.
it was really helpfull.... thanks a lot
Debjyoti mondal
May 21, 2020, 9:53 p.m.
Thanks
Souparnika
May 19, 2020, 8:35 p.m.
Thank You....It was very useful
Mounika
May 17, 2020, 7:13 a.m.
Thank you
Fucking Your Mama
May 7, 2020, 11:36 p.m.
Maa Chudao
Patel
May 4, 2020, 3:45 p.m.
Goooooooooooooooooooooooooood
Jay
April 28, 2020, 6:40 p.m.
Ok
xyz
April 27, 2020, 9:06 p.m.
vrry goooddd
Nageswari
April 16, 2020, 2:59 p.m.
Thanks
Manoj
April 7, 2020, 1:03 p.m.
It's nice
Hemant singla
April 6, 2020, 10:34 a.m.
Thanks
Koushika
April 4, 2020, 10:53 p.m.
Thank you
yash kumar
March 18, 2020, 8:48 p.m.
awesome questions
dharmaram coe
Nov. 1, 2019, 6:04 p.m.
super