Question:
A box has 5 blue and 4 red balls. One ball is drawn at random and not replaced. Its colour is also not noted. Then another ball is drawn at random. What is the probability of second ball being blue?
Solution:
Given that the box has 5 blue and 4 red balls.
Let’s consider E1 be the event that first ball drawn is blue and E2 be the event that first ball drawn is red.
And, E is the event that second ball drawn is blue.
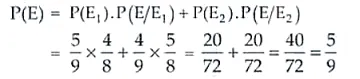
Now, the probability of E is:

Therefore, the required probability is 5/9.