A common tangent to the conics

Question:

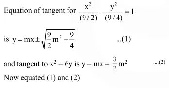
A common tangent to the conics $x^{2}=6 y$ and $2 x^{2}-4 y^{2}=9$ is :

  1. $x+y=\frac{9}{2}$

  2. $x+y=1$

  3. $x-y=\frac{3}{2}$

  4. x-y=1


Correct Option: , 3

Solution:

Leave a comment