A hole of radius r1 is made centrally in a uniform circular disc of thickness d and
Question:
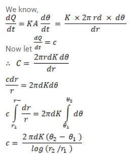
A hole of radius $r_{1}$ is made centrally in a uniform circular disc of thickness $d$ and radius $r_{2}$. The inner surface (a cylinder of length $d$ and radius $r_{1}$ ) is maintained at a temperature $\theta_{1}$ and the outer surface (a cylinder of length $d$ and radius $\left.r_{2}\right)$ is maintained at a temperature $\theta_{2}\left(\theta_{1}>\theta_{2}\right)$. The thermal conductivity of the material of the disc is $\mathrm{K}$. Calculate the heat flowing per unit time through the disc.
Solution:
