A hot body placed in a surrounding of temperature
Question:
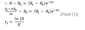
A hot body placed in a surrounding of temperature $\theta_{0}$ obeys Newton's law of cooling $\frac{d \theta}{d t}=k\left(\theta-\theta_{0}\right)$. Its temperature at $t=0$ is $\theta_{1}$. The specific heat capacity of the body is $s$ and its mass is $m$. Find
(a) The maximum heat that the body can lose and
(b) the time starting from $t=0$ in which it will lose $90 \%$ of this maximum heat.
Solution:

