Question:
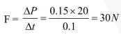
A player caught a cricket ball of mass $150 \mathrm{~g}$ moving at a rate of $20 \mathrm{~m} / \mathrm{s}$. If the catching process is completed in $0.1 \mathrm{~s}$., the force of the blow exerted by the ball on the hand of the player is equal to-
Correct Option: , 3
Solution:
