Question:
A solid piece of iron of dimensions 49 × 33 × 24 cm is moulded into a sphere. The radius of the sphere is
(a) 21 cm
(b) 28 cm
(c) 35 cm
(d) none of these
Solution:
The volume of iron piece = 49 × 33 × 24 cm3
Let, r is the radius sphere.
Clearly,
The volume of sphere = volume of iron piece
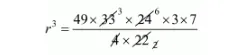
$\frac{4}{3} \pi r^{3}=49 \times 33 \times 24$
$\frac{4}{3} \times \frac{22}{7} \times r^{3}=49 \times 33 \times 24$

$r^{3}=49 \times 3 \times 3 \times 3 \times 7$
$r=7 \times 3$
$r=21 \mathrm{~cm}$
Hence, the correct answer is choice (a).