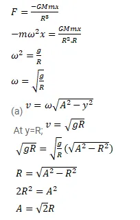
Assume that a tunnel is dug across the earth (radius=R) passing through its center.
Question:
Assume that a tunnel is dug across the earth (radius=R) passing through its center. Find the time a particle takes to cover the length of the tunnel if
(a) it is projected into the tunnel with a speed of $\sqrt{g R}$
(b) it is released from a height $\mathrm{R}$ above the tunnel
(c) it is thrown vertically upward along the length of tunnel with a speed of $\sqrt{g R}$.
Solution:



