Question:
Bag I contains 3 black and 2 white balls, Bag II contains 2 black and 4 white balls. A bag and a ball is selected at random. Determine the probability of selecting a black ball.
Solution:
Given that:
Bag 1 has 3B, 2W balls and Bag 2 has 2B, 4W balls.
Let E1 = The event that bag 1 is selected
E2 = The event that bag 2 is selected
And, E = The event that a black ball is selected
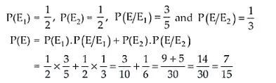
Now, the probabilities are:

Therefore, the required probability is 7/15.