Differentiate each of the following w.r.t

Question:

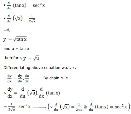
Differentiate each of the following w.r.t. $\mathrm{x}$ :

$\sqrt{\tan x}$

Solution:

Leave a comment